Probabilistic Graphical Models (PGM) Zoo

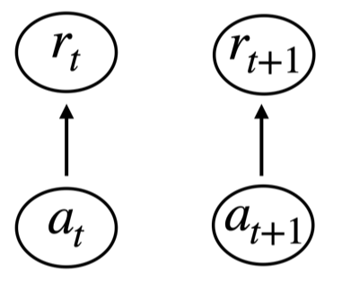
Offline Bandits

Two-step graphical model with latent and observed variables

Offline Contextual Bandits

Offline contextual bandit graphical model

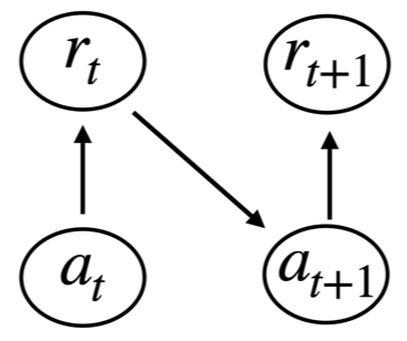
Online Bandit

Online bandit graphical model

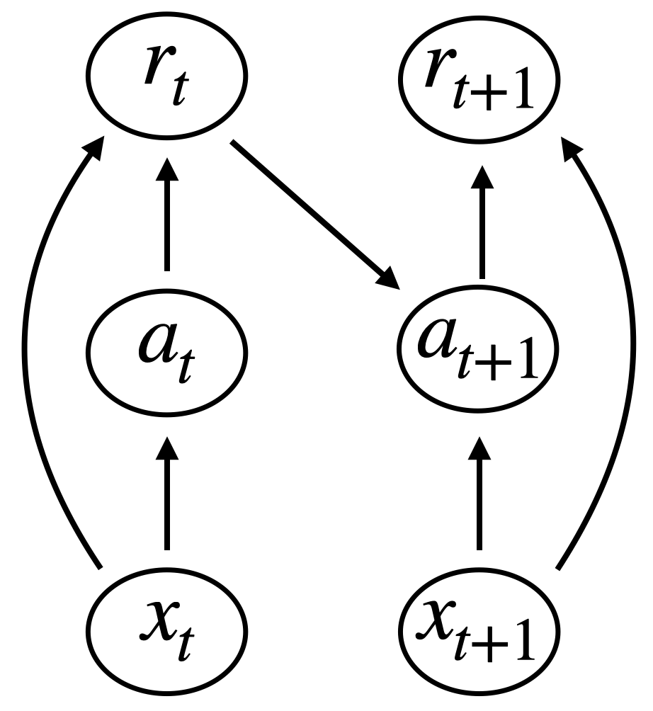
Online Contextual Bandits

Online contextual bandits graphical model

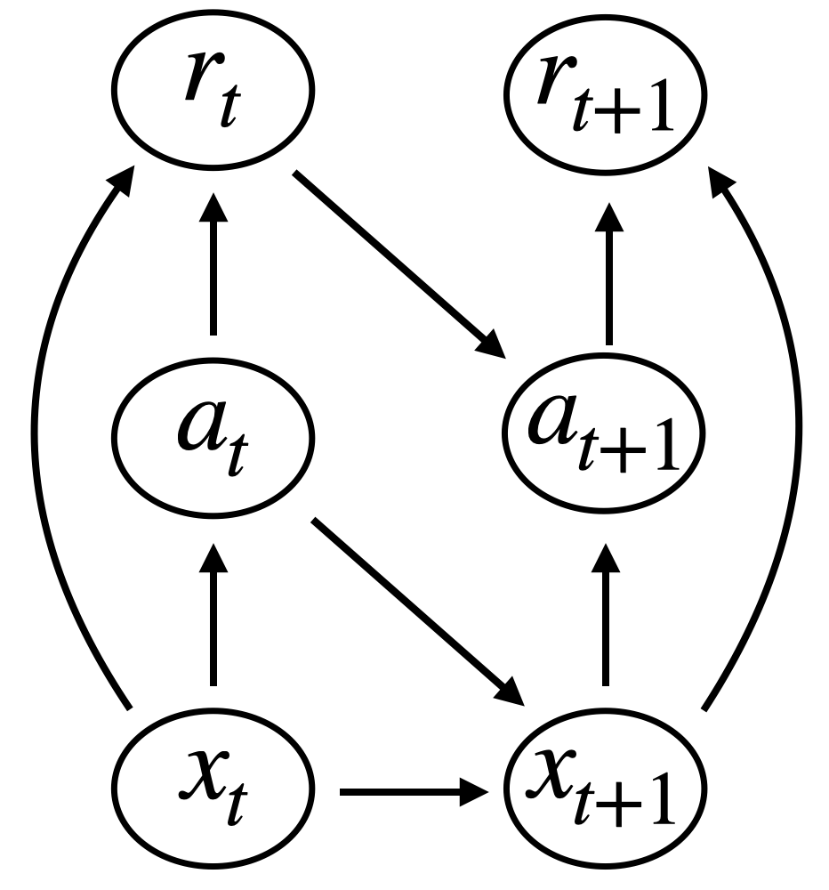
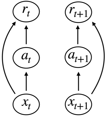
Reinforcement Learning

Reinforcement learning graphical model